For unsymmetrical faults such as
- single line to ground (LG) fault
- line to line (LL) fault
- double line to ground (LLG) fault
simple single phase representation is not valid.
The method of “Symmetrical Components” is generally used. The method of symmetrical components is a very powerful technique. Dr. C. L. Fortesque implemented the method of symmetrical components in his research paper entitled “Method of Symmetrical Coordinates Applied to Solution of Polyphase Networks” presented at AIEE in the year 1918.
The principle of symmetrical components is as follows:
Suppose we have to manage an unbalanced system of n vectors. It is then resolved into n balanced systems, each of which consists of n vectors. These balanced vectors are called symmetrical components of the original components.
The method of symmetrical components is a general one which is applicable to any polyphaser system. Here, symmetrical component equations will be developed in three phase systems for widespread use of three phase systems.
Symmetrical Components of 3-phase Systems

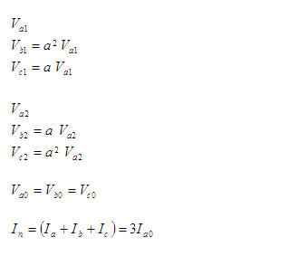
Positive Sequence Components

Negative Sequence Components


Zero Phase Sequence Components

Symbolically


Operator a

From Balanced Vector to Symmetrical Components





Summerising



Zero Sequence Currents

