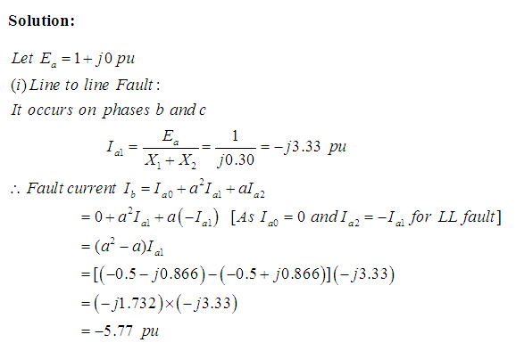
Problem 1: A 25 MVA, 11 kV, 3-phase alternator has direct axis sub-transient reactance of 0.25 per unit, negative sequence reactance and zero sequences are respectively 0.25 per unit and 0.05 per unit.
Neutral of the alternator is solidly grounded. Calculate sub-transient line currents and line to line voltages, for
- Single line to ground fault
- Line to line fault
- Double line to ground fault
Generator is on no load and rated terminal voltage. Resistance is negligible.
Solution:



















Problem 2: In Problem 1, if the neutral to ground circuit has reactance of 0.1 per unit instead of zero, then calculate fault current flowing through the neutral reactor.



Problem 3: A 3-phase, 11 kV, 10 MVA generator has direct axis sub-transient reactance of 0.15 per unit, negative sequence reactance and zero sequences are respectively 0.15 per unit and 0.05 per unit. It is on no load and rated terminal voltage. Calculate the ratio of line currents for a single line to ground fault to three phase fault. Neutral is solidly grounded.

Hence, Single line to ground fault current is 1.285 times three phase fault current.
Problem 4: A 3-phase, 11 kV, 10 MVA generator has direct axis sub-transient reactance of 0.15 per unit and negative sequence reactance of 0.15 per unit. It is on no load and rated terminal voltage. Calculate the ratio of line currents for a line to line fault to three phase fault. Neutral is solidly grounded.

