
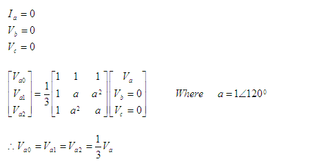
Double line to ground fault takes place on terminals b, c and ground. The boundary conditions are





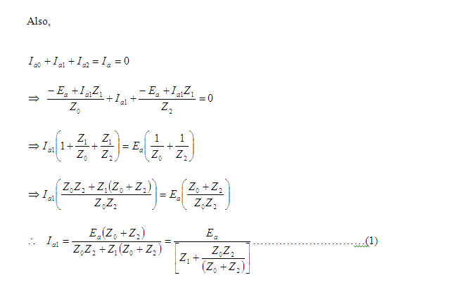
From equation (1) it is observed that all the three sequence networks are present in LLG fault. The interconnection of sequence networks for L-L-G fault is shown in Figure below.


